Website Header with Language Selector and Dropdowns

Cleanchem is a trusted provider of premium pharmaceutical reference materials, specializing in Mutilin and its associated compounds. Our catalog includes pharmacopeial and non-pharmacopeial Mutilin impurities, metabolites, nitrosamine derivatives (N-NO compounds), and stable isotope-labeled products. These reference standards play a critical role in pharmaceutical R&D, supporting activities such as product formulation, ANDA and DMF submissions, quality assurance, analytical method development, and stability assessments.
All Mutilin-related substances undergo comprehensive characterization and are delivered with complete Certificates of Analysis and supporting analytical documentation to ensure regulatory adherence. Upon request, we can offer EP/USP traceable standards. Our products are routinely re-evaluated to maintain consistent quality and performance.

CAT No: CL-MUTN-01
CAS No: 6040-37-5
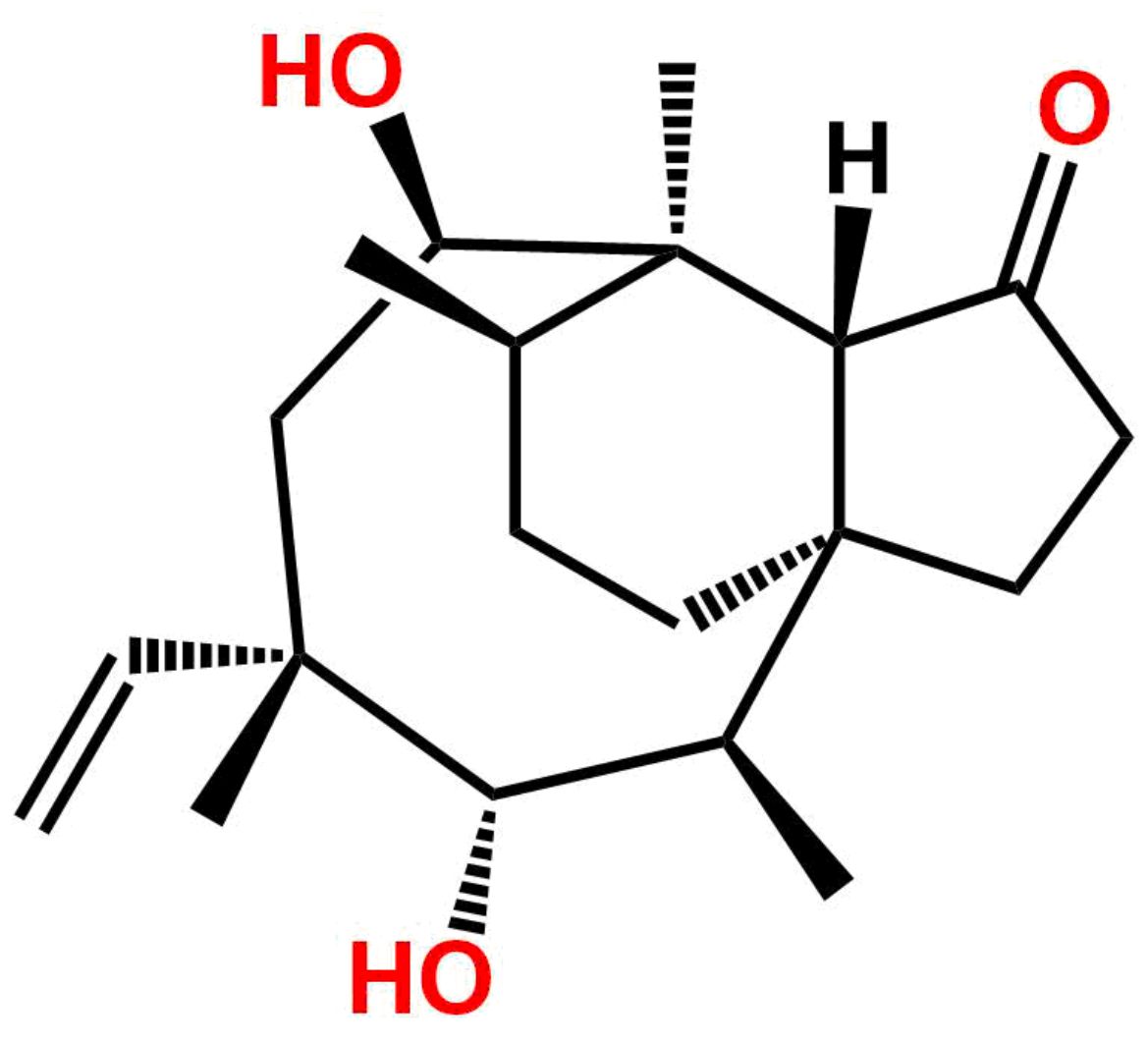
Mol Wt: 320.5
Mol F: C20H32O3
Inv Status:Custom Synthesis
CAT No: CL-MUTN-02
CAS No: 87680-55-5
Mol Wt: 320.5
Mol F: C20H32O3
Inv Status:Custom Synthesis
CAT No: CL-MUTN-03
CAS No: NA
Mol Wt: 336.5
Mol F: C20H32O4
Inv Status:Custom Synthesis
Address(India):

Plot No. A-737/2, TTC Industrial area,
MIDC, Kopar Khairne, Navi Mumbai, INDIA, 400710

           
Address(Bangladesh):

House No. - 12, Road No. - 17, Nikunja -2,
Khilkhet, Dhaka-1230, Bangladesh.

Subscribe for news letter:
  

© Cleanchem Laboratories LLP. All Rights Reserved.